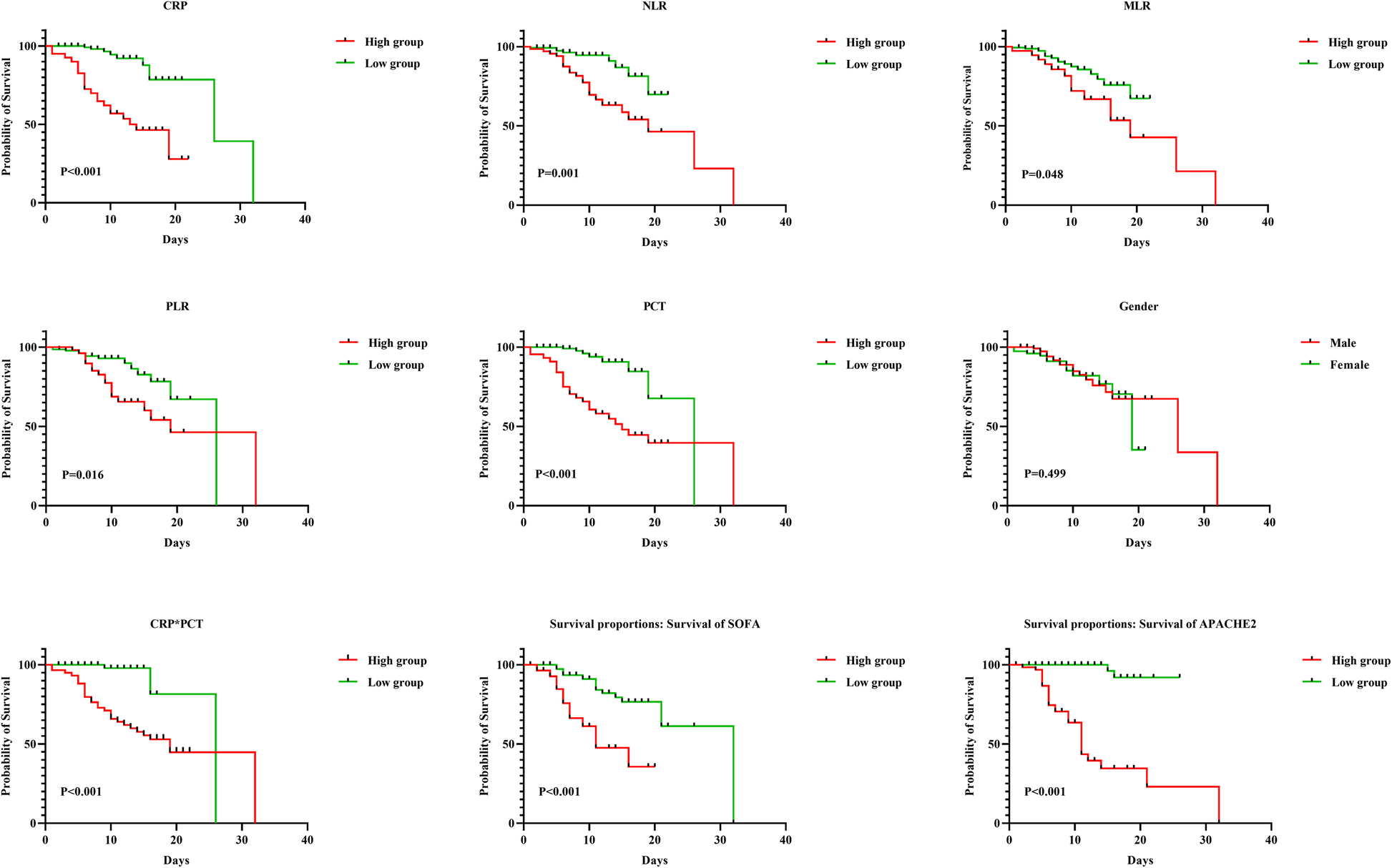
Fig. 2
From: Study of C-reactive protein, procalcitonin, and immunocyte ratios in 194 patients with sepsis

The prognosis of each factor (stratified by diagnostic cut-off value)
From: Study of C-reactive protein, procalcitonin, and immunocyte ratios in 194 patients with sepsis

The prognosis of each factor (stratified by diagnostic cut-off value)